Translation: “Major Breakthrough in Solid-State Batteries by Chinese Academy of Sciences! Capable of 300 Cycles Without Degradation, Aiming for Mass Production by 2026.”
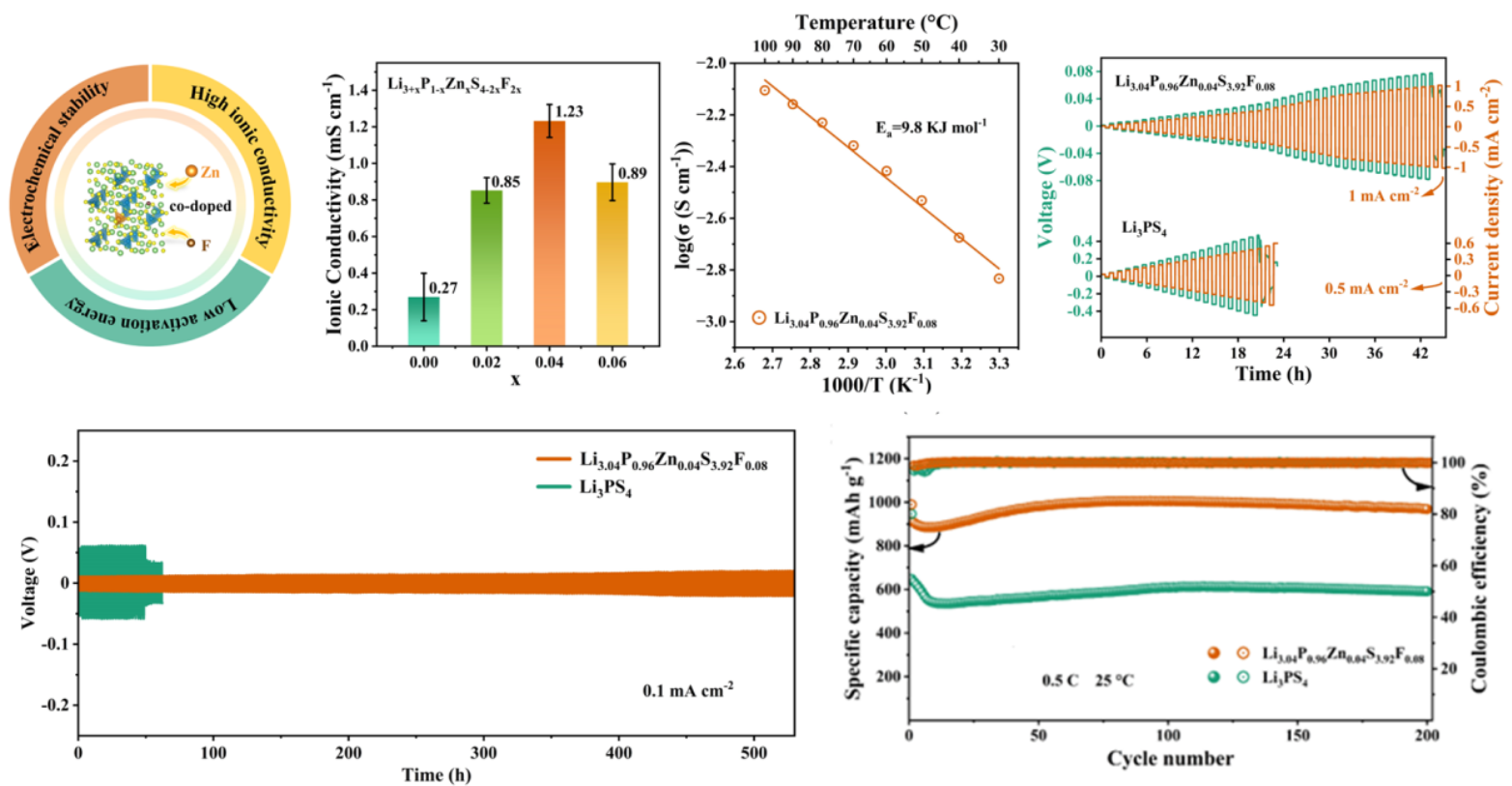
According to an official announcement from the Qingdao Institute of Bioenergy and Bioprocess Technology, Chinese Academy of Sciences (CAS), the institute has successfully overcome the final hurdle in the production process of sulfide all-solid-state batteries for large-scale vehicle batteries. They have also achieved a critical breakthrough in the technology of sulfide pouch cell stacking. As […]





